随着低频雷达的快速发展,对武器装备的低频隐身提出了更为迫切的需求,由前期关注的C、X、Ku、Ka等波段逐渐过渡到低频如L、P波段的雷达隐身。目前,我国周边部署了多部低频预警雷达,如台湾的AN/FPS-115“铺路爪”远程预警雷达和E-2T、E-2T2000空中预警机、日本的E-2D预警机等,探测距离高达500 km,这些都对我国的远程导弹和作战飞机构成了重大威胁。另外,日常生活中家用电器和电力系统等产生的电磁辐射频段也基本处于0-3.5 GHz,研究表明0.5-3 GHz波段内的电磁辐射会对人造成生物性损伤,危害器官及神经系统、内分泌系统、免疫系统、造血系统等,另外,0.5-3 GHz波段内电磁干扰还会影响设备的正常工作或造成信息泄露。因此,研制高性能低频电磁波吸收材料对于国防及民用均具有重要意义。根据四分之一波长理论,低频雷达隐身材料的匹配厚度将远高于厘米和毫米波段,在X波段成熟的材料体系基本无法使用,目前国内外针对低频雷达隐身材料的研究进展缓慢,很多方面均属空白。
当前,依靠材料组分设计及微观形貌优化可有效解决中高频电磁波吸收,但其在低频区间雷达吸收性能差,当厚度增大到10 mm时,少部分的电磁吸收剂在1-2 GHz尽管可达到-5 dB的吸收,但有效吸收宽度一般都小于0.3 GHz。最近,炸金花平台 姬广斌教授课题组联合南京理工大学、新加坡南洋理工大学徐梽川教授在低频(1.5-2.0 GHz)雷达隐身器件方面取得重要进展,相关成果以“A Voltage-Boosting Strategy Enabling a Low-Frequency, Flexible Electromagnetic Wave Absorption Device”在线发表于Adv. Mater.。论文第一作者为炸金花平台 2014级博士生吕华良,炸金花平台 为第一通讯作者单位,姬广斌教授为通讯作者,曾海波教授、徐梽川教授为共同通讯。
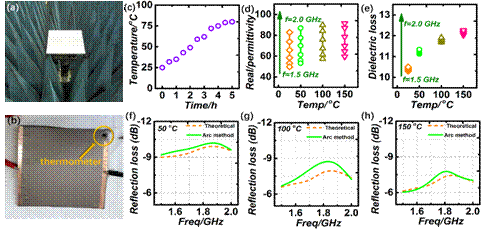
该研究团队借助电磁计算,发现受制于材料本征介电属性,ε'值的提升必然会伴随ε''的增大。为解决此难题,该团队设计了一种具有三明治结构的柔性低频雷达隐身器件,内层选用高效电可调SnS/SnO2@C作为吸收层,外层选用超薄碳膜作为电子传输通道。研究结果表明,在施加一定电压时,该柔性电子器件的介电实部和虚部随着电压的增大而增加,18 V时介电实部和虚部均可控制在理想区间,雷达反射损耗值在整个1.5-2.0 GHz均低于-5 dB。耐温测试表明该柔性电子器件在150 oC时,低频微波吸收仍能有效覆盖。该研究依靠电压调控和宏观结构设计策略,可有效打破材料的固有本征介电属性,在解决低频雷达隐身及电子干扰等方面有潜在的应用价值,为开发其它低频雷达隐身材料如P波段提供了有益的参考。

图1. (a-b)弓形法实测柔性器件低频雷达反射损耗的照片;(c)弓形法测试低频雷达反射损耗的原理示意图;(d-e) 柔性器件厚度的实测照片;(f) 弓形法和同轴线法所得1.5-2.0 GHz的雷达反射损耗

图2. (a-b) 弓形法变温测试实物照片;(c) 施加16 V偏压时的温度-时间曲线;(d) 25-150 °C柔性器件的介电实部;(e) 25-150 °C柔性器件的介电损耗;柔性器件在1.5-2.0 GHz,不同实用温度时的雷达反射损耗曲线:(f) 50 °C, (g) 100 °C, (h) 150 °C
相关研究获得了国家自然基金面上项目、航空科学基金、航天一院联合基金等项目资助。
文献链接:Hualiang Lv, Guangbin Ji*, Haibo Zeng*, Zhichuan J. Xu*, et al. A Voltage-Boosting Strategy Enabling a Low-Frequency, Flexible Electromagnetic Wave Absorption Device. Adv. Mater., 2018, DOI: 10.1002/adma.201706343.
//onlinelibrary.wiley.com/doi/10.1002/adma.201706343/full